车东西(公众号:chedongxi)
作者 | James
编辑 | 晓寒
特斯拉的动力电池专家,又取得了一项电池技术突破,相当于电动车终身不用换电池!
近期加拿大达尔豪斯大学的Jeff Dahn及其团队的一项最新研究成果显示,使用锂离子电池的使用寿命能够达到100年。其背后原因就是使用了LiFSI(双氟磺酰亚胺锂,下称“双氟”)作为电解液的主要物质。
Jeff Dahn作为锂电池材料领域最顶尖的科学家,长期向特斯拉提供锂电池研究成果。这样的身份不得不引起业内更多的关注,可能会让双氟电解质盐更早进入电动汽车。

▲Dahn及其团队发表的论文
实验发现,相比于现在业界最常用的电解液盐LiPF6(六氟磷酸锂,下称“六氟”),LiFSI能够让NMC532电池的热稳定性更好,也就是让电池更安全、稳定地运行。
与此同时,更换了新电解液的NMC523电池寿命更长。无论是在气温适宜的20°C条件下,还是严酷的40°C、55°C条件下,LiFSI电解质盐的电芯有着更好的寿命表现。尤其在20°C条件下,电池在充电循环2000次之后,容量几乎不会发生衰减,明显强于普通NMC532和磷酸铁锂电芯。
如果按照每周充一次电计算,电池经过38.5年的使用后,容量也不会明显衰减,大大超出了汽车的平均使用寿命。
日前,这一研究论文被发布在了《电化学学会》杂志上,并引起海内外媒体的集体围观。
那么,Jeff Dahn及其团队的研究历程究竟是怎样的,除了电解质盐之外,这一新型的电池还有哪些秘密?日前,车东西将《NMC532对比LFP电芯,是长寿命、低压锂离子电芯的更好替代》这篇论文进行了全文编译,在不改变原文事实的基础上,略有删减,最终找到了问题的答案。
一、做四种电芯进行测试 采用新的实验方式
实际上,双氟并不是一种新奇的电解液原料,但由于制备工艺复杂、生产成本高、提纯难度大,而没有实现大规模应用。
但是,双氟的性能业界有目共睹,并且有可能代替六氟成为未来市场上的主流产品。在真正规模量产前,Dahn及其团队也对双氟进行了研究。
当前业内最常见的两种电池的正极材料就是三元锂和磷酸铁锂,因此要做对比研究就有四种排列组合,分别是双氟三元锂、六氟三元锂、双氟磷酸铁锂、六氟磷酸铁锂。
Dahn及其团队发现,在此前的研究中,研究人员基本上都将三元锂和磷酸铁锂电池充满电进行比较,二者都达到了最高电压。但因为三元锂电池电压通常更高,二者在满电状态下做比较并不公平。
在此次研究中,控制三元锂和磷酸铁锂电池正极电压基本相同,得出了与先前研究不同的结论:那就是三元锂电池的寿命竟然相当长。
进入实验准备阶段,研究人员将NMC532作为电池正极,人造石墨作为负极,打造了三元锂电芯。作为对照,研究人员还准备了204035 LiFePO4作为电池正极,人造石墨作为负极,打造了磷酸铁锂电芯。

▲三元锂和磷酸铁锂电池的关键参数
研究人员将电芯在120°C的真空状态下干燥14小时,每安时填充4.5g电解质,并在-90kPa气压下真空密封。
电解质选择主要有两种。
1、使用1.5mol的六氟溶解在重量比为3:7的碳酸乙烯酯(EC)和碳酸二甲酯(DMC)之中,还添加了碳酸亚乙烯酯,其占比为总重量的2%。这也是量产产品中常用的电解质。
2、使用1.5mol双氟溶解在重量比为3:7的EC和DMC中,还有2%的碳酸亚乙烯酯。这是实验中新型的电解质。
另外还有部分电芯的电解质中增加了乙酸甲酯(MA),所得混合物中,乙酸甲酯的质量占比20%,EC/DMC的质量占比为80%。
最终得到的三元锂电池的能量密度为495Wh/L,磷酸铁锂电池的能量密度为425Wh/L。
在测试方法上,电池在Neware电池测试系统中采用恒流、恒压充电和恒流放电的方法循环使用,其中三元锂电池的电压在3.65V(3.8V)~3V之间,磷酸铁锂电池的电压在3.65V~2.5V之间。
研究人员将电池使用的温度分为了三个档位,分别是40°C、55°C和70°C。在三元锂电池经过3000小时、磷酸铁锂电池经过2000小时的充放电使用后,在测试温度下对电池进行检测。检测项目包括对三元锂电池的负极进行X射线荧光光谱分析、测量涂层电极的尺寸和重量等项目。
二、实验显示电池寿命超百年 但需多种条件
进入实验阶段,研究人员希望通过在实验室环境中,模拟实际使用的温度场景,探究不同温度、不同电解液电池的寿命究竟有多长。通过多个实验,研究人员绘制出了电池状态变化的图表。
1、新电池:三元锂能量密度更高
首先,研究人员测试了电池不同时期的电压、容量等关键参数。根据测试数据,能够绘制出电池充放电之后的参数变化曲线。
在电池生命周期最开始的阶段,就能明显发现,三元锂电池的能量密度相比磷酸铁锂更高。

▲两种电池的容量和能量密度
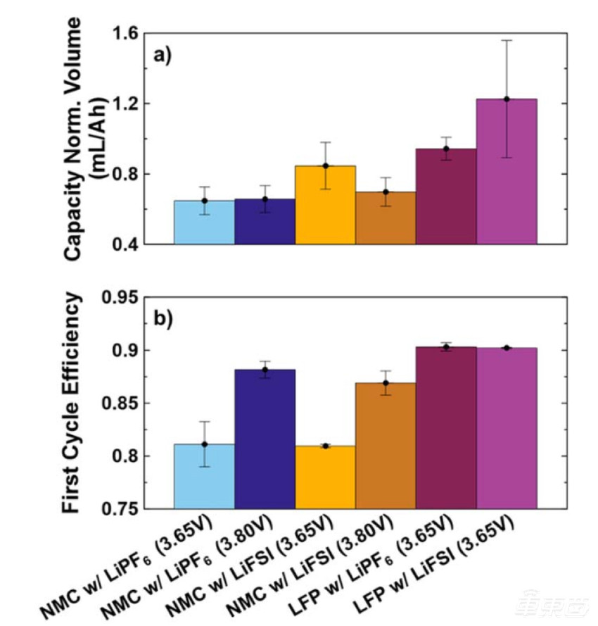
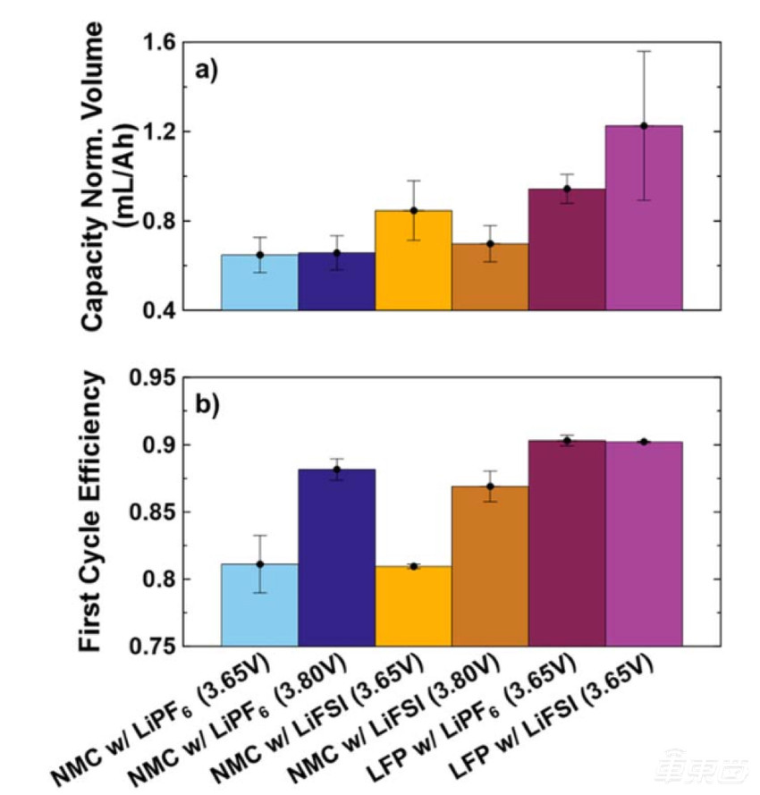
2、第一次循环:双氟性能优势明显
电池完成第一次循环之后,可以发现采用新型双氟电解质的电芯,容量、能量密度都更高。其中,3.65V的六氟三元锂电池,其容量和能量密度都相对较低,电压升高至3.8V能明显提升容量,但能量密度没有变化。

▲首次循环后的容量和能量密度
采用双氟电解质的电芯,在3.65V的电压下能量密度明显更高,但在3.8V电压下,容量和密度的提升并不明显。
观察双氟磷酸铁锂电芯,其能量密度有比较明显的提升,但首次循环的容量几乎相同。
此外还能发现,电芯的首次循环中,三元锂电池无论是能量密度还是容量上,都不如磷酸铁锂电池。
3、1000次循环:双氟电池衰减更少
当电池完成1000次循环之后,就能绘制出折线图,显示出容量、能量密度、充电电压和放电电压之间的平均差∆V与循环次数的关系。

▲1000次循环后的容量和能量密度变化
其中可以发现,当温度处于40°C时,可以明显发现双氟电池容量稍高于六氟电池。并且随着循环次数的增加,总容量也有所增加。在能量密度上,随着循环次数增加,能量密度下降,但双氟电池能量密度仍然更高。
在温度为55°C的条件下,双氟电池与六氟电池之间仍没有拉开较大的差距,但双氟电池能量密度和容量仍然稍高。
当温度达到70°C时,二者就明显拉开了差距,六氟电池出现了明显的容量和能量密度下降,但双氟电池表现依然很强。
在电芯容量和正、负极电压关系的折线图中也能发现,当电池充电至3.65V时,双氟电池对温度不敏感,无论是40°C、55°C,还是70°C条件下,温度对正、负极电压的影响几乎为零。但是六氟电池正极电压随温度变化幅度非常明显。

▲电池的正、负极电压曲线图
如果将电池电压充至3.8V,也有同样的变化趋势。
4、3000小时循环后 六氟电池衰减更多
另一张图显示了三元锂电池循环3000小时、磷酸铁锂循环2000小时之后的库仑效率(CE,指电子在电池中传输的效率)、充电终点容量下降值、每次循环容量的变化值。

▲库仑效率、充电终点容量下降值、每次循环容量变化图
可以发现,每一次充电中,双氟电池容量衰减更小,但六氟电池衰减更多。这一现象在三元锂电池上体现得更为明显。
在库仑效率的表现上,三元锂电池的表现也明显好于磷酸铁锂,这意味着如果电压稍低一些(4V以内),三元锂电池的寿命会更长。这也是三元锂电池的电动汽车不宜长期充电至100%的原因。
5、双氟三元锂寿命明显更长
之后,研究人员又引入了一组将电池充电至4.2V的对照组,可以发现在40°C时,经过模拟16个月的使用,其容量相比3.65V、3.8V的电池衰减更多,但容量一直保持高于磷酸铁锂电池。在温度55°C的条件下,电池容量衰减的走势同样类似。这一实验结果印证了之前的结论。

▲加入4.2V数据后的对比图
从上文的研究中可以总结,双氟电池具有更长的寿命。综合此前测试的数据可以绘制出一张温度与容量下降至80%所需时间的关系图,从图上可以发现,只要温度在20°C左右,双氟三元锂电池使用寿命能够超过100年。

▲不同电池的温度、寿命关系
但能实现如此长的寿命,需要电池满足几个硬性条件,第一是适合的温度,第二是低电压,也就是不能充太满,第三是充电速度需要合理管控,防止锂出现镀层。
所以说,要想提升三元锂电池的寿命,使用双氟电解质可能是一条路径。但实际上,用户的实际使用场景明显更为复杂,因此100年的寿命可能只存在于实验室场景中。
三、还有五大探索方向 包括混合电极
在得到实验结果后,研究人员还就五个重要问题进行了讨论,并指出了电池技术未来可以探索的方向。
1、克服电极失效导致容量下降,可以采用更科学的充电策略。在前文的分析之中,随着电池正极电压曲线的变化,负极曲线也会随之变化,这就导致电池容量降低。如果在发生电极失效之后,充电至更高的电压,那么就能重新“解锁”更多的存储能量。但是,这不是一项长久之计,因为电压升高,电池还会加速退化。在经过类似这样的操作之后,三元锂电池的寿命可能会更高。
2、快速充电的高阻抗特性:传统三元锂电池在使用期间,阻抗和内阻的变化会导致正极阻抗的增加。这也就意味着,如果能够要快速充电,需要在接近充满的时候降低速率。但是在更换电解液主要物质之后,阻抗增加幅度相对较小。在接近满电的时候,也能以较高功率充电。这意味着,应用于电动汽车时,充电速度能更快。
3、电解液需要得到创新。含有低粘度溶剂(如乙酸甲酯和乙酸乙酯)的电解质已被证明可以更快速充电。但在高电压下运行时,由于氧化稳定性较低,因此会牺牲电池寿命。对于三元锂电池而言,低电压运行氧化的速度会变慢,因此这类电解质能够让电池实现更长的寿命。
4、如果使用高镍、低钴或无钴材料,即便电池充电至高电压,也不会出现结构上的退化。与含有大量钴的电池材料相比,高镍、低钴材料目前虽然有更高的成本,但能量密度也随之增加。当充电到足够高的电压(通常超过4.06V)时,这些材料会由于较大的晶胞体积变化而降解。如果用于较低的3.80V电压,可以避免此类结构问题发生。
5、三元锂和磷酸铁锂混合电池可能会改进正极的性能。由于三元锂和磷酸铁锂电池的负极配方基本相同,利用率也基本相同,因此混合电极可能也是一个很好的解决方案。不过,从此次研究的成果看,如果让三元锂电池运行在较低的电压之下,那么就能获得更长的寿命,而磷酸铁锂就是让电池保持更低的成本。
在论文最后的结论中,Dahn及其团队谈到,低电压三元锂电池的寿命和能量密度超过了磷酸铁锂电池。如果用电设备对能量密度要求很高且寿命相比成本更重要的话,低压NMC532三元锂电池更值得投入使用。

▲不同电池的实验结论
不过,这并不是否定磷酸铁锂电池。磷酸铁锂电池能够在成本和安全性上表现更为优越。
结语:电池技术加速革命
作为锂电池的先驱,Jeff Dahn在这一领域的声望相当高。同时,他作为特斯拉电池的合作伙伴,其研究成果受到全球的关注。随着电动汽车快速普及,人们越来越觉得电池技术需要更快速的进步,打造出更安全稳定、能量密度高、充电快的电池,这也是业界正在不断探索创新的领域。
Dahn及其团队也正是电池技术革命中的重要参与者。在电动汽车加速普及的今天,全球将有更多研究团队不断攻克带电池技术,加速产业变革。